The story
Once upon a time, I applied for a job. I got invited to an online test, and I got to the next round, which was the HR interview. I basically nailed the first interview with the HR.
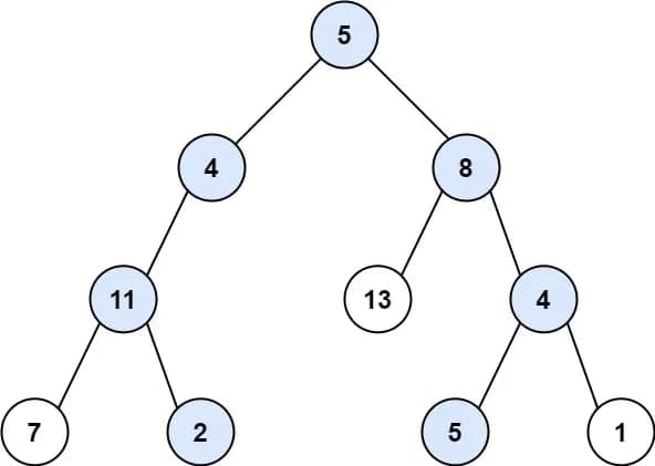
But then I got to proceed to the next interview, which was the technical interview (live coding). I was given a problem to solve. It's basically a problem about binary tree.
They gave me this picture:
Basically we need to find the sum for each paths, and then compare the sum with the target sum. If it's equal to the target sum, we append the path to the result.
The cope
Well long story short, I spent like an hour trying to solve it. I was nearly able to solve it (mfw I'm coping), but yea I didn't make it. I mean it's not too hard, but I was just too nervous and I messed up. I knew I need to use DFS to solve it, but I messed up the implementation. And yup I knew that I was gonna fail the interview.
Well my feelings were hurt, and I though why the hell I need to do this? Why I need to waste my time on this? Like I've worked in this industry before and I never had to do things with binary tree. Like I bet even when I was accepted in the company, I would never had to do things with binary tree. I will prolly deal with API endpoints and database queries. It won't need DFS or BFS or anything like that.
Then at some point, I decided to do some exercise in leetcode. I specifically looking for the binary tree related problems. It was ironic since I was trying to avoid doing things with binary tree, but then I was doing it anyway.
Maybe I did like 3 or 4 problems, and then I stumbled upon the exact same problem I had in the interview. Like if only I had done this earlier, I would have been able to solve it. But then I thought, bro I never deal with DFS in my work before. Why is the industry asking me to do this?
But when you think about it, maybe if they don't use this kinda problem, it will be difficult to filter out the candidates. In this economy where there are so many people applying for the same job, they need to find a way to filter out the candidates. And this is one of the ways to do it. That and maybe the company just doesn't want to hire you.
Don't get me wrong, I do think that leetcode grinding maybe beneficial for coders, since it develops your problem solving skills. But I don't have plenty of time to do it, and it's getting kinda tedious when doing it for too long. (Bro insisted it's not a skill issue) My favorite type of question/problem for technical interview is the one where you're solving real life problems, like finding issues in the code, or optimizing something in the code, or how to design a system to handle a certain problem. This kind of problem is where AI might be struggling to solve, and it needs human's creativity to solve it. At least for now...
Conclusion
So the conclusion is, coding interview is in the gray area of bullshitery. Yes this might be an L take from me.
For you guys that are curious of the leetcode problem I talked about, here's the link: LeetCode Problem
